BFS (너비 우선 탐색)
BFS란?
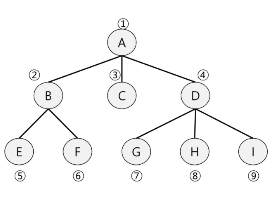
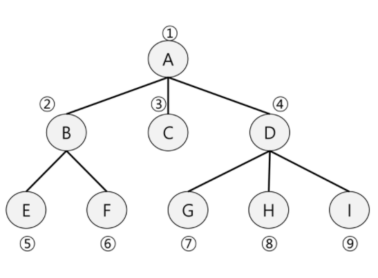
- BFS는 탐색 시작점의 인접한 정점들을 먼저 모두 차례로 방문한 후에, 방문했던 정점을 시작으로 하여 다시 인접한 정점들을 차례로 방문하는 방식
- 인접한 정점들에 대해 탐색을 한 후, 다시 BFS를 진행해야 하므로 Queue를 사용

- DFS와는 달리, 최고 깊이 까지 간 후 돌아오는 것이 아니라, 인접한 모든 정점을 차례대로 방문하고 그 다음 높이의 노드에 반복
- 그래프, 트리, 미로 등에서 활용가능함
BFS 코드
def bfs(v): # bfs 반복 코드
Q.append(v) # 일단, 시작점을 Q에 넣어준다.
D[v] = 0 # D는 시작점 부터의 거리
visited[v] = 1 # visited 방문 해주고
while Q: # Q가 빈 리스트가 될 때 까지
v = Q.popleft() # Q의 제일 앞인덱스를 뽑아준다.
for w in G[v]: # 노드가 갈 수 있는 곳
if not visited[w]: # 방문하지 않았다면
Q.append(w) # 그 노드를 Q에 append
visited[w] = 1 # visited 방문하고
D[w] = D[v] + 1 # 시작점 부터의 거리니까 D[v]에 +1
P[w] = v # 부모 저장
- 일반적으로 위와 같이 진행
미로에서의 활용코드
[SWEA_미로1](SW Expert Academy)
def bfs(r, c):
Q.append((r, c)) # 일단, Q에 시작의 인덱스를 튜플로 묶어서 넣어준다.
visited[r][c] = 1 # visited방문하고
while Q: # Q가 빈리스트가 될 때 까지
r, c = Q.pop(0) # 제일 앞의 원소 뽑아주고
if maze[r][c] == 3: # 도착한 경우 1을 return하고 종료
return 1
for dr, dc in [[1, 0], [0, 1], [-1, 0], [0, -1]]: # 미로를 탐색
nr, nc = r + dr, c + dc
if maze[nr][nc] != 1 and visited[nr][nc] == 0 and 0 <= nr < 16 and 0 <= nc < 16:
Q.append((nr, nc))
visited[nr][nc] = 1
return 0
for y in range(1, 11):
tc = int(input())
maze = [list(map(int, input())) for _ in range(16)]
visited = [[0]*16 for _ in range(16)]
Q = []
sr, sc, er, ec = 0, 0, 0, 0
for i in range(16): # 시작점과 종료점을 잡아준다.
for j in range(16):
if maze[i][j] == 2:
sr, sc = i, j
elif maze[i][j] == 3:
er, ec = i, j
print(f'#{tc}', bfs(sr, sc))
- 위의 코드를 활용해 이런 식으로 미로를 탐색할 수 있다.
'알고리즘 개념' 카테고리의 다른 글
| Queue 큐 (파이썬) (0) | 2022.09.03 |
|---|---|
| DFS (깊이 우선 탐색) (파이썬) (0) | 2022.09.03 |
| Stack 스택 (파이썬) (0) | 2022.09.01 |
| 트리 순회 코드 (파이썬) (0) | 2022.08.28 |
| 2차원 리스트 지그재그 순회 (파이썬) (0) | 2022.08.21 |